Next: Background Research
Up: Equations
Previous: Ewald Equations
  Contents
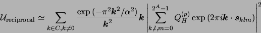
The PME method replaces the reciprocal term with another set of equations that are lower-order. The direct replacement for
is:
 |
(7) |
11.
This depends on the charge mesh
, and the sum over
indexes over all mesh points. The mesh function is calculated calculated using 8
where
is the Cardinal B-Spline of order n given by the recursive function:
 |
(8) |
and, for any real number,
,
for
and
for
12
The PME reciprocal space term, see Appendix A.5: recpTerm.F for code, calculates the reciprocal contribution using the Particle Mesh Ewald Method as discussed earlier in Section 2.3.
Thomas G Dimiduk
2004-04-15